Общие схемы получения полиолов и ароматических диизоцианатов
Прекурсор — химическое вещество, исходный компонент или участник промежуточных реакций при синтезе какого-либо вещества.
Для полиуретанов прекурсорами являются различные диизоцианаты и многоатомные спирты полиолы.
Общие схемы получения полиолов и ароматических диизоцианатов: дифенилметан диизоцианат (MDI) или толуен диизоцианат (TDI), приведены ниже.
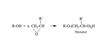
1. Полиолы
Органический оксид, используемый в данной реакции, чаще всего – оксид пропилена с небольшим количеством добавленного оксида этилена.
Сам пропилен оксид возможно получить несколькими способами:
Первый способ:
Из этилбензола и пропилена
На практике эта реакция продолжается с образованием стирола и полистирола.
Второй способ:
Из изобутана и пропилена
В некоторых случаях реакцию продолжают, в результате преобразуя трет-бутанол в изобутеновый или метил-третбутиловый эфиры.
Третий способ:
Из пропилена, хлора и оксида кальция
На практике зачастую используют гидроксид кальция вместо его оксида.
2. Изоцианаты
На следующих схемах, все процессы представлены с самого начала – от природных источников.
Проиводство MDI:
*MDA - метилендианилин
Производство TDI:
* TDA - толуендиамин
Другие Статьи
Смотреть все